新闻中心
联系我们
手 机:17898826917
邮 箱:40045692@qq.com
Q Q:40045692
地 址:上海市奉贤区南桥镇国顺路936号5幢
科普:一起走进无卤阻燃剂大家族
现如今,由于绝大部分塑料优异的绝缘性能,塑料已经广泛应用于手机3C、家用电器、电工产品中;然而,塑料的易燃性能阻碍着其安全性能。无卤阻燃剂由于不会产生氯化氢等有毒含卤气体,为我们日常生活做了巨大的贡献。下面我们来了解一下无卤阻燃剂大家族:无机阻燃剂、无卤膨胀型阻燃剂、有机磷系阻燃剂、有机硅系阻燃剂、氮系阻燃剂。
一 无机阻燃剂
无机阻燃剂具有稳定性好,低毒或无毒,贮存过程中不挥发、不易从塑料中析出,原料来源丰富,价格低廉等优点, 兼具阻燃、填充双重功能;并对环境友好,是很有前途的阻燃剂。无机阻燃剂主要包括Sb2O3、Al(OH)3、Mg(OH)2、无机磷系等。
1.三氧化二锑
三氧化二锑(Sb2O3)是无机阻燃剂中使用最为广泛的品种。由于它单独使用时效果不佳,常与有机卤化物并用,起到协同作用,称为协效剂。它具有优良的阻燃效果,可广泛用于PVC和聚烯烃类及聚酯类等塑料中。但它对鼻、眼、咽喉具有刺激作用,吸入体内会刺激呼吸器官,与皮肤接触可以引起皮炎,使用时应注意防护。
2.氢氧化铝
氢氧化铝Al(OH)3习惯上称为水合氧化铝。为白色细微结晶粉末,含结晶水34.4%,200℃以上脱水,可大量吸收热量。另外,氢氧化铝加入到塑料中,在燃烧时放出的水蒸气白烟将聚合物燃烧产生的黑烟稀释,起掩蔽作用,因此又具有减少烟雾和有毒气体的作用。
图:氢氧化铝
3.氢氧化镁
氢氧化镁Mg(OH)2比氢氧化铝阻燃性能稍差,在塑料中添加量大,会影响到力学强度。经偶联剂表面处理后,可改善其与树脂的结合力,使之兼具阻燃和填充双重功能。常用于EP、PF、UP、ABS、PVC、PE等。
4.无机磷系阻燃剂
无机磷系阻燃剂主要指红磷。它是一种性能优良的阻燃剂,具有高效、抑烟、低毒等阻燃效果,作为阻燃剂使用已有20余年,是一种受到高度重视的阻燃剂,可在多种塑料中使用,但一般需与其它助剂配合,才能发挥其阻燃作用。红磷阻燃剂也有不足,主要有:红磷在使用时稳定性差、易燃易爆炸、易氧化成酸;与空气长期接触会放出剧毒的磷化氢;红磷本身为红色,易使制品着色;红磷也容易吸潮,与聚合物兼容性较差,从而限制了其作为阻燃剂的广泛应用。
5.其它无机阻燃剂
其它无机阻燃剂包括阻燃增效剂、阻燃抑烟剂以及一些用量较少的阻燃剂等,主要有:钼系化合物、硼酸盐、层状硅酸盐、锡系化合物(锡酸锌和羟基锡酸锌)等。钼系化合物是迄今为止人们发现的最好抑烟剂。通常使用三氧化钼和钼酸铵。美国开发出不含铵的系列钼酸盐抑烟剂,能耐200℃以上的加工温度。
二 无卤膨胀型阻燃剂
无卤膨胀型阻燃剂(IFR)是以磷、氮为主要成分的无卤阻燃剂。它具有高阻燃性、无熔融滴落、对长时间或重复暴露在火焰中有极好的抵抗性,无卤、无氧化锑, 低烟、无毒、无腐蚀性气体产生等优点。
IFR主要由三部分组成:第一部分是酸源又称脱水剂或炭化促进剂。通常为无机酸或无机酸化合物,如磷酸、硫酸、硼酸、磷酸铵盐、磷酸酯及聚磷酸铵(APP)等,可与树脂作用,促进炭化物的生成;第二部分是炭源又称成炭剂,主要为一些含碳量较高的多羟基化合物或碳水化合物,如淀粉、季戊四醇(PER)及其二聚体和三聚体等;第三部分是气源又称发泡源,可释放出惰性气体,为含氮类化合物,如尿素、三聚氰胺(MEL)、双氰胺、APP等。
由于普通的膨胀型阻燃剂易吸潮,添加量大,同塑料的相容性差,所以还需要对其改性以提高其与塑料的相容性或让其与具有协同作用的物质共用,以提高阻燃效果。
无卤膨胀型阻燃剂的典型组分如表1所示。

三 有机磷系阻燃剂
在各类阻燃剂中,磷系阻燃剂,特别是有机磷系阻燃剂,占有重要地位。对有机磷系阻燃剂的研究起始于本世纪初,有机磷系阻燃剂大都具有低烟、无毒、低卤、无卤等优点,符合阻燃剂的发展方向,具有较好的发展前景。有机磷系阻燃剂包括磷酸酯、亚磷酸酯、膦酸酯、有机磷盐和氧化磷,还有磷杂环化合物及聚合物磷(膦)酸酯等,但应用最广的是磷酸酯和膦酸酯。

图:汽车内饰件燃烧测试
由于早先已工业化的有机磷阻燃剂存在挥发性大、热稳定性不佳以及磷卤阻燃剂毒性等问题,近年来国内外有大量新型有机磷类阻燃剂被研发,且部分已经工业化。此外,以氮、硅作为阻燃元素的阻燃剂以其高效、低烟、低毒、绿色环保等优点也受到了人们的广泛关注。 因此在有机磷阻燃剂分子设计中,把氮元素或硅元素引入其中而得到的磷 - 氮阻燃剂或磷 - 硅阻燃剂往往可以发挥两者的协同阻燃作用。

图:RDP与BDP的结构式
BDP和RDP是近年来开发出的新型无卤环保有机磷类阻燃剂,其结构式如上图所示。与传统有机磷阻燃剂相比,它们具有分子量大、热稳定性高、挥发性低以及阻燃效率高等特点。BDP在热稳定性及水解稳定性方面比RDP略为优越,作为添加型阻燃剂,主要用于热塑性工程塑料如PC/ABS共混物、 聚乙烯及泡沫聚氨酯中,表现出十分优异的阻燃效果。
四 有机硅系阻燃剂
有机硅阻燃剂是一种新型高效、低毒、防熔融滴落、环境友好的无卤阻燃剂,也是一种成炭型抑烟剂。有机硅阻燃剂在赋予基材优异的阻燃性能之外,还能改善基材的加工性能、耐热性能等。目前,有机硅阻燃剂主要有硅树脂阻燃剂和聚硅硼氧烷阻燃剂。阻燃的方法可以是直接将有机硅阻燃剂加入到塑料中,也可以是将一些带官能团(如端羟基、氨基或环氧基)的聚硅氧烷链段嵌入到一些聚合物中。

图:塑料燃烧滴落易扩散火源
1.硅树脂是以Si-O-Si为主链,硅原子上连接有机基的交联型半无机高聚物。硅树脂分子的侧基为氢键或有机基时称为纯硅树脂。硅树脂具有优良的耐热性、耐候性、阻燃性和电绝缘性等。
2.聚硅氧硼烷是指分子主链上包含Si-O-Si键、Si-O-B键和B-O-B键的聚合物。将硼元素以化学键的形式与硅氧烷形成共聚物,可实现B和Si在同一分子链上的协同阻燃作用。

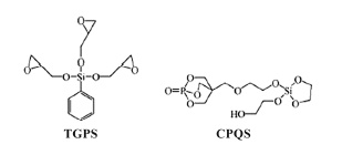
图:TGPS与CPQS的结构式
典型的有机硅阻燃剂如:TGPS(二氯二甲基硅烷改性树脂)、CPQS(双环笼状含磷四配位硅),其结构如上图所示。
五 氮系阻燃剂
氮系阻燃剂的研究起步较晚,目前使用的品种不多,主要为添加型,常用的氮系阻燃剂有三聚氰胺、三聚氰胺氰尿酸(MCA)等。氮系阻燃剂作为一种新型高效的阻燃剂,近年来在国内外得到广泛研究和重视。根据目前已有文献报道,单独使用氮系阻燃剂阻燃效果不佳,但与含磷阻燃剂结合而成的膨胀型阻燃剂体系,其阻燃效果就很好。


