新闻中心
联系我们
手 机:17898826917
邮 箱:40045692@qq.com
Q Q:40045692
地 址:上海市奉贤区南桥镇国顺路936号5幢
尼龙班同学大聚会,你真的都认识吗?
?????????关于尼龙这个班级,他们这些班级成员你都认识么?知道他们学号怎么来的么?知道他们有什么特长么?接下来就跟小编一起了解下吧~
????????尼龙班级学号的命名
????????1.由内酰胺开环聚合的尼龙,称为尼龙x,简写为PAx。如PA6,是由己内酰胺开环聚合而得到。
????????2.由二元酸、二元胺缩聚而得到的聚合物,称为尼龙xy,其中x代表二元胺中构成主链部分所含碳原子数,y代表二元酸中构成主链部分所含碳原子数如PA610是由癸二酸和己二胺缩聚而得。
????????3.用重复的二胺或者二酸的简称表示,如间苯二甲胺简称为MXDA,故间苯二甲胺与己二酸的聚合物称为尼龙MXD6。
????????尼龙班级同学聚会签到簿
????????1. 尼龙46(PA46)
????????2. 尼龙4T(PA4T)
????????3. 尼龙56(PA56)
????????4. 尼龙6(PA6)
????????5. 尼龙66(PA66)
????????6. 透明尼龙(半芳香族尼龙)
????????7. 尼龙6T(PA6T)
????????8. 尼龙MXD6
????????9. 尼龙610(PA610)
????????10. 尼龙612(PA612)
????????11. 尼龙9T(PA9T)
????????12. 尼龙10T(PA10T)
????????13. 尼龙1010(PA1010)
????????14. 尼龙11(PA11)
????????15. 尼龙12(PA12)
????????16. 尼龙1212(PA1212)
????????17. 尼龙1313(芳纶1313)
????????18. 尼龙1414(PA1414)
????????尼龙班级同学们
????????尼龙班级的同学们活跃在各行各业中,接下来我们就来一一了解一下他们。
????????1.?尼龙46(PA46)

????????英文名:Polyamide46 or Nylon46;简称PA46。尼龙46,又称聚酰胺46,即聚己二酰丁二胺。
????????其突出的特点是具有高结晶度,耐高温、高刚性,高强度。主要用于汽车发动机及周边部件,如缸盖、油缸底座、油封盖、变速器。电气工业中用作接触器、插座、线圈骨架、开关等对耐热性、抗疲劳强度要求很高的领域。
图 帝斯曼集团研发的耐热性尼龙PA46塑料用于冷器
????????2.?尼龙4T(PA4T)
????????英文名:Polyamide4T or Nylon4T;简称PA4T。尼龙4T,PA4T是进入21世纪以来人们合成的第一款高温尼龙。于2007年9月27日诞生,至今已10年了,在高分子群体里面,是2000年以后第一个被发明的高温尼龙。结构式如下:
????????PA4T纯树脂的熔点非常高,超过了其分解温度,如果不进行共聚改性降低其熔点,则无法商用,推广也及其困难。所以PA4T在市场上推广,一般都需要共聚改性,常用手段是与PA66和/或PA6共聚以降低熔点。改性后综合力学性能优异,流动性好,电性能卓越,耐化学腐蚀性以及耐高温性能突出,能够满足电子电气、移动终端等领域的要求。
△图 小米6手机
????????3.?尼龙56(PA56)
????????英文名:Polyamide56 or Nylon56;简称:PA56。尼龙56由戊二胺和己二酸缩聚而成,戊二胺的提取可以来自天然生物中。其分子结构式为:

????????环保、性能佳、能提高终端织物的舒适性。它的吸水率、玻璃化温度、强度、柔软度、吸湿性、回弹性都优于尼龙6、尼龙66、涤纶的部分产品。
图 尼龙56纺丝
????????4.?尼龙6(PA6)
????????英文名称:Polyamide6 or Nylon6,简称PA6;尼龙6,又称聚酰胺6,即聚己内酰胺,由己内酰胺开环缩聚而得,分子结构式:
????????呈半透明或不透明的乳白树脂,具有优越的机械性能、刚度、韧性、耐磨性和机械减震性,良好的绝缘性和耐化学性能。广泛应用于汽车零部件、电子电气零等多个领域。
△图 玻纤增强PA6前端模块(摄于朗盛展台)
????????5.?尼龙66(PA66)
????????英文名:Polyamide66 or Nylon6;简称PA66;尼龙66,又称聚酰胺66,即聚己二酰己二胺。分子结构式:
????????与尼龙6相比较,其机械强度、刚度、耐热和耐磨性,抗蠕变性能更好,但冲击强度和机械减震性能下降。在汽车、无人机、电子电气等有着广泛的应用。
△图 PA66轮毂(摄于可隆展台)
????????6.?透明尼龙(半芳香族尼龙)
????????英文名:polytrimethyl hexamethylene terephthalamide;transparent polyamide resin;透明尼龙是无定形聚酰胺,化学名称为:聚对苯二甲酰三甲基己二胺。其分子结构式为:
????????对可见光的透过率达85%~90%。其以在尼龙成分中加入具有共聚和立体障碍的成分来抑制尼龙的结晶,从而产生非结晶和难结晶的结构,它保持了尼龙原有的强韧性,并得到透明的厚壁制品。透明尼龙的力学性能、电性能、机械强度和刚性与PC和聚砜几乎属于同一水平。
△图 透明尼龙镜片
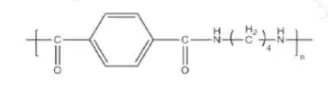
????????7.?尼龙6T(PA6T)
????????英文名:Polyamide6T or Nylon6T;简称PA6T。尼龙6T,又称聚酰胺6T,即聚对苯二甲酰己二胺。
????????其突出的特点是耐高温(熔点为370℃,玻璃化温度为180℃,可在200℃下长期使用),高强度、尺寸稳定,耐焊接性好使得PA6T特别适用于黏着技术(SMT)用电子连接器。主要用于汽车部件,油泵盖、空气滤清器,耐热电器部件如电线束接线板、熔断器等。
△图 杜邦高温尼龙PA6T合金系列
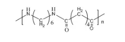
????????8.?尼龙MXD6
????????尼龙-mxd6是由三菱气体化学公司从m-xylenediamine(mxda)生产的广泛的聚酰胺的通用名称。它是由间苯二甲胺mxda与己二酸的缩聚而产生的结晶聚酰胺。与尼龙6和尼龙66不同,尼龙mxd6是一种脂肪族聚酰胺,其主链中含有一个芳环。化学结构如下:
????????与尼龙6和尼龙66相比,尼龙MXD6具有以下良好的特点:
????????1. 更大的强度和弹性模量;
????????2. 高玻璃化转变温度;
????????3. 低吸水性和透湿性;
????????4. 良好的结晶速度和易于成型和制造;
????????5. 良好的气体阻隔性能。
????????这些特点导致了许多不同的应用,尼龙-mxd6作为包装和成型材料,以及生产的单丝。
????????尼龙-mxd6是一种优良的气体阻隔氧气和二氧化碳的质量。在一定条件下,其气阻比高于共聚树脂,如乙烯乙烯醇(evoh)、偏氯乙烯(PVDC)和acrylnitrile(pan)。
????????尼龙-mxd6的成型规格符合其他材料的成型标准。这意味着可以使用尼龙mxd6与聚对苯二甲酸乙二醇酯(pet)、聚丙烯(PP)或聚乙烯(PE),实现共注射成型和共挤出成型,生产层压容器、瓶子和包装单。
????????9.?尼龙610(PA610)
????????英文名:Poly[imino-1,6-hexanediylimino(1,10-dioxo-1,10-decanediyl)];Polyamide 610;Nylon 610;简称PA610。尼龙610,又称聚酰胺610,即聚葵二酰己二胺。分子结构式:
????????呈半透明奶白色。其强度介于尼龙6与尼龙66之间。比重小,结晶性较低,吸水性低,尺寸稳定性好,耐磨性好,能自熄。用于精密塑料配件,输油管、容器、绳索、传送带、轴承、纺织机械零部件、电气电子中的绝缘材料和仪表壳等。
△图 尼龙610气动管
????????10.?尼龙612(PA612)
????????英文名:Polyhexamethylene dodecanamide;Polyamide 612;Nylon 612;简称PA612。尼龙612,又称聚酰胺612,即聚十二烷酰己二胺。分子结构式为:
????????尼龙612是一种韧性较好的尼龙,密度比610小,有极低的吸水率,优良的耐磨性能,较小的成型收缩率,耐水解性和尺寸稳定性优良。最主要的用途是做高档牙刷的单丝和电缆包覆。
△图 冷却液管(摄于杜邦展台)
????????11.?尼龙9T(PA9T)
????????英文名:Polyamide9T or Nylon9T;简称PA9T。尼龙-9T,又称聚酰胺-9T,即聚对苯二甲酰壬二胺。其分子结构式为:
????????其突出的特点是:吸水性小,吸水率为0.17%;耐热性好(熔点为308℃,玻璃化温度为126℃),其焊接温度高达290℃。主要用于电子、电器、信息设备和汽车部件。
????????12.?尼龙10T(PA10T)
????????英文名:Polyamide10T or Nylon10T;简称PA10T。尼龙10T,又聚酰胺10T,即聚对苯二甲酰癸二胺。其分子结构式为:
????????其主要特点是具有非常低的吸湿性,耐高温,优异的韧性、刚性和尺寸稳定性,流动性和加工性能好,容易着色,焊接熔合线强度高,熔点高达300~316℃,密度为1.42g/cm3。PA10T中具有苯环和较长的二胺柔性长链,使得大分子具有一定的柔顺性,从而具有较高的结晶速率和结晶度,适用于快速成型。广泛应用于LED反射支架、电机端盖、电刷支架、齿轮等。
????????13.?尼龙1010(PA1010)
????????英文名:Polyamide1010;Nylon1010;简称PA1010。尼龙1010,又称聚酰胺1010,即聚葵二酰葵二胺。分子结构式:
????????尼龙1010是以蓖麻油为基础原料而制得的,是我国上海赛璐珞厂首先研制成功并实现工业化。其最大的特点是具有高度延展性,可牵伸至原长的3~4倍,而且拉伸强度高,冲击性和低温性优良,-60℃下不脆,同时具有极佳的耐磨性、超高的韧性和良好的耐油性,广泛应用于航天、电缆、光缆、金属或线缆的表面涂覆等。
△图 杜邦Zytel RS尼龙1010燃油管路
????????14.?尼龙11(PA11)
????????英文名:Polyamide11 or Nylon11;简称PA11。尼龙11,又称聚酰胺11,即聚十一内酰胺。分子结构式为:
????????呈白色半透明体。其突出的特点是熔融温度低而加工温度宽,吸水性低,低温性能良好,可在-40℃~120℃保持的良好柔韧性。主要用于汽车输油管、制动系统软管、光纤电缆包覆、包装薄膜、日用品等。
△图 PA11油管
????????15.?尼龙12(PA12)
????????英文名:Polyamide12 or Nylon12;简称PA12。尼龙12,又称聚酰胺12,即聚十二酰胺。分子结构式为:
????????它类似尼龙11,但其密度、熔点和吸水率比尼龙-11低。由于其含有较大量的增韧剂而具有聚酰胺和聚烯烃相结合的性能。其突出的特点是分解温度高,吸水性低,耐低温性能优良。主要用于汽车输油管、仪表板、油门踏板、刹车软管,电子电器的消声部件、电缆护套。
△图 PA12铲子把手
????????16.?尼龙1212(PA1212)
????????英文名:Polyamide1212;Nylon1212;简称PA1212。由十二二胺和十二二酸缩聚而得。其分子结构式为:
????????PA1212吸水率在尼龙中最低、尺寸稳定性好,、耐油、耐碱、耐磨性好、耐化学品、透明性好、低温下具有极好的韧性。广泛用于航天、汽车、纺织、仪表、医疗器材等。
????????17.?尼龙1313(芳纶1313)
????????英文名:Polyamide1313;Nomex;Nylon1313;简称PA1313。间苯二甲酰氯和间苯二胺为单体进行缩聚而得,其分子结构式为:
????????Nomex具有远高于脂肪族PA的力学性能和耐热性能(作为纤维织物,寿命是脂肪族PA纤维布的8倍,棉布的20倍),良好的耐热老化性(250℃经2000h热老化后,表面电阻率和体积电阻保持不变),在较高温度或潮湿的环境下仍可保持较好的电性能。主要用于H级电绝缘材料和制备高性能纤维(HT-1纤维)。
????????18.?尼龙1414(PA1414)
????????英文名:Polyamide1414;Kevlar;Nylon1414。简称PA1414。聚对苯二甲酰对苯二胺(Polyphthalamide)。其分子结构式为:
????????分子主要由具有刚性的苯环组成,属于高刚性聚合物,其分子结构具有高度的对称性和规整性,大分子链之间有很强的氢键,使得该聚合物具有高强度、高模量、耐高温、低密度、热收缩性小、尺寸稳定性好等特点,能制成高强度、高模量纤维。
△图 芳纶1414防弹衣


?
?
?
?
?
?
?
?
?
?
?
?
?
?
?
?
?
?
?
?
?
?
?
?
?
?
?
?